Physical Address
304 North Cardinal St.
Dorchester Center, MA 02124
Physical Address
304 North Cardinal St.
Dorchester Center, MA 02124

ፈጣሪ የበኸር ልጁን አድርጎ ከሁሉም ፍጣን
በግእዝ በራሱ ልሳን፣ ሰየመው ብሎ ብርሃን።
ነገር ግን
ብርሃን በፍጥነቱ የትም ቢሄድ ገስግሶ
ጨለማን ያገኘዋል ቀድሞ ደርሶ ነግሶ።
እናም
የበረረውን ቢበርር ፍጥነቱ ቢያስደምም
ልጅ ይሮጣል እንጅ አባቱን አይቀድምም።
በዚህ ጦማር ላይ የምንጠቀምባቸው ያንዳንድ ቃሎች ትርጉሞች የሚገኙት ጀንበራዊ ስርካት (solar system) እንዲሁም ክብና ፉንባ (circle and ellipse) በሚሉት ጦማሮች ውስጥ ስለሆነ፣ ይህን ጦማር ከማንበብወ በፊት እነዚህን ጦማሮች ቢያንስ ቢያንስ በገረፍታ ይመልከቱ።
ጨካኝነት ከፈሪነት ጋር ቀጥተኛ ወደረኛ (directly proportional) ነው ፣ የፈሪ ብትር ሆድ ይቀትር እንዲሉ። በሌላ አባባል ግለሰብም ይሁን ቡድን ፈሪ ሲባል የፈሪነቱን ያህል ጨካኝ ነው። የጨካኝነቱን ያህል ደግሞ ጨካኝነቱን ጀግንነት ለማስመሰል የሚጣጣር አስመሳይ ይልቁንም ደግሞ አጭበርባሪ ነው።
ወደራዊነት (proportionality) ወይም ውድረት (proportion) የሁለት እሴቶችን (values) ልዩ ዝምድና የሚያመለክት ሒሳብሲናዊ ብያስ (mathematical expression) ነው። ባማረኛ ወደር ማለት እኩያ ማለት ነው፣ እከሌ ወደር የለውም እንዲሉ። ብያስ (expression) ማለት ደግሞ አገላለጽ እንደ ማለት ሲሆን፣ ቃሉ የተገኘው ባይሤ (ማለትም አየ) ከሚለው የኦሮምኛ ቃል ነው። ግሱም ሲረባ በየሰ (express)፣ ብይስ (ብዩስ) [expressed]፣ በያሲ (ባያሽ) [expresser]፣ ብየሳ (expressing)፣ ብይሰት፣ ብያሴ፣ ብያሶሽ እያለ ይሄዳል።
ሁለት ዓይነት ወደራዊነቶች አሉ። አንደኛው የወደራዊነት ዓይነት ቀጥተኛ ወደራዊነት (direct proportionality) ወይም ቀጥተኛ ውድረት (direct proportion) ሲባል፣ ሌላኛው የወደራዊነት ዓይነት ደግሞ ግልብጥ ወደራዊነት (inverse proportionality) ወይም ግልብጥ ውድረት (inverse proportion) ይባላል።
እሴት y ከእሴት x ጋር ቀጥተኛ ወደረኛ (directly proportional) ነው ማለት
ማለት ነው። ለምሳሌ ያህል እሴት x ሁለት እጥፍ ቢጨምር (ማለትም በ 2 ቢባዛ)፣ እሴት y ሁለት እጥፍ ይጨምራል (ማለትም በ 2 ይባዛል)፣ እሴት x ወደ ግማሽ ቢወርድ (ማለትም በ 2 ቢካፈል)፣ እሴት y ወደ ግማሽ ይወርዳል (ማለትም በ 2 ይካፈላል)።
እሴት y ከእሴት x ጋር ቀጥተኛ ወደረኛ (directly proportional) መሆኑን ለማሳየት የወደራዊነት ምልከት (proportionality symbol) የሆነውን ∝ በመጠቀም በሚከተለው መልክ እንጽፋለን።

እሴት y ከእሴት x ጋር ግልብጥ ወደረኛ (inversely proportional) ነው ማለት
ማለት ነው። ለምሳሌ ያህል እሴት x ሁለት እጥፍ ቢጨምር (ማለትም በ 2 ቢባዛ)፣ እሴት y ወደ ግማሽ ይወርዳል (ማለትም በ 2 ይካፈላል)፣ እሴት x ወደ ግማሽ ቢወርድ (ማለትም በ 2 ቢካፈል)፣ እሴት y ሁለት እጥፍ ይሆናል (ማለትም በ 2 ይባዛል)።
እሴት y ከእሴት x ጋር ግልብጥ ወደረኛ (inversely proportional) መሆኑን ለማሳየት የወደራዊነት ምልከት (proportionality symbol) የሆነውን ∝ በመጠቀም በሚከተለው መልክ እንጽፋለን።

የወደራዊነት ቋሚ (proportionality constant) በመጠቀም ማናችውንም ወደራዊነት (proportionality) ወደ እኩልታ (equation) መቀየር ይቻላል።


ለምሳሌ ያህል በኒውተን ሁለተኛው የሑሰት ሕግ (Newton’s second law of motion) መሠረት የማናቸውም አካል (body) ጥድፈት (acceleration)


2. እንዲሁም ከአካሉ ቁሰት (mass) ጋር ግልብጥ ወደረኛ (inversely proportional) ነው።


ግሳብ (force) የሚለው ቃል የተገኘው ግፋ እናሳብ ከሚሉት ቃሎች ሲሆን፣ ግሱም ሲረባ ገሰበ፣ ግስብ፣ ገሳቢ፣ ግሳባ እያለ ይሄዳል። ገሰበ ማለት በግሳብ ገፋ ወይም ሳበ ማለት ነው። ፋርዳ ግሳብ (net force) ማለት ደግሞ የተጣራ ግሳብ ማለት ነው። ባማረኛ ፋርዳ ማለት የተጣራ ማለት ነው፣ ፋርዳ ትርፍ እንዲሉ። ቁሰት (mass) ማለት የቁስ (matter) መጠን እንደ ማለት ነው።
የኒውተንን ሁለት ወደራዊነቶች ባንድንት በማጣመር የማናቸውም አካል ጥድፈት (acceleration) በአካሉ ላይ ከሚገስበው ፋርዳ ግሳብ (net force) ጋረ ቀጥተኛ ወደረኛ (directly proportional) ሲሆን፣ ከአካሉ ቁሰት (mass) ጋር ደግሞ ግልብጥ ወደረኛ (inversely proportional) ነው እንላለን።

የኒውተን ሁለተኛ ሕግ (Newton’s second law)፤ የማናቸውም አካል (body) ጥድፈት (acceleration) ባካሉ ላይ ከሚገስበው ፋርዳ ገሳብ (net force) ጋር ቀጥተኛ ወደረኛ (directly proportional)፣ ካካሉ ቁሰት (mass) ጋር ደግሞ ግልብጥ ወደረኛ (inversely proportional) ነው።

የወደራዊነት ቋሚ (proportionality constant) በመጠቀም የኒውተን ሕግን ወደራዊነት ወደ እኩልታ (equation) መለወጥ እንችላለን። ወደራዊነቱን ወደ እኩልታ ለመለወጥ የምንጠቀምበት የወደራዊነት ቋሚ (proportionality constant) እሴት ደግሞ ጥድፈትን (acceleration)፣ ግሳብን (force) እና ቁሰትን (measure) ለመቆነን (measure) በምንጠቀምበት የቁነና ስርካት (measurement system) ይወሰናል። ቤንቤራዊ የቶካዶች ስርካት (System International) ወይም ባጭሩ ቤቶስ (SI) የሚባለውን አብዛኛው ዓለም የሚጠቀምበትን የቁነና ስርካት (measurement system) ከተጠቀምን ደግሞ የኒውተን ሕግ የወደራዊነት ቋሚ k = 1 ይሆናል። ስለዚህም ሁለተኛው የኒውተን የሑሰት ሕግ በሚከተለው ሁኔታ በእኩልታ (equation) መልክ ይገለጻል።

ቁነና (measurement) የሚለው ቃል የተገኘው ቆነነ (ለካ፣ መጠነ፣ ሰፈረ) ከሚለው ያማረኛ ቃል ነው። ግሱም ሲረባ ቆነነ (measured)፣ ቁንን (measured)፣ ቁናኝ (measurer)፣ ቁነና (measuring, measurement) እያለ ይሄዳል። ስለዚህም የቁነና ስርካት (measurement system) ማለት የመለካት ስርካት (ስርዓት) ማለት ነው።
ቤንቤራዊ (international) ማለት አገሮችን ሁሉ የሚያጠቃልል አለማቀፋዊ (world wide) ማለት ሲሆን፣ ቃሉ የተገኘው በይነ (ማካከል) እና ብሔር (አገር) ከሚሉት የግእዝ ቃሎች ነው። ስለዚህም ቤንቤራዊ የቶካዶች ስርካት (System International) ወይም ባጭሩ ቤቶስ (SI) ማለት ዓለማቀፍ የቶካዶች ስርካት (system of units) ማለት ነው።
ገብዲስ (maximum) ማለት የመጨረሻ ትልቅ ማለት ሲሆን፣ ቃሉ የተገኘው ግብዳ (ማለትም ግዙፍ) ከሚለው ቃል ነው። እንዲሁም ጨቅሊስ (minimum) ማለት የመጨረሻ ትንሽ ማለት ሲሆን፣ ቃሉ የተገኘው ሙጭቅላ (ማለትም ትንሽ) ከሚለው ነው። የገብዲስ ግስ ሲረባ ገበደሰ (maximize)፣ ግብድስ(maximized)፣ ገብዳሲ (maximizer)፣ ግብደሳ (maximization) እያለ ሲሄድ፣ የጨቅሊስ ግስ ሲረባ ደግሞ ጨቀለሰ (minimize)፣ ጭቅልስ (minimized)፣ ጨቅላሲ (minimizer)፣ ጭቅለሳ (minimization) እያለ ይሄዳል።
maximum = ገብዲስ
maximize = ገበደሰ
minimum =ጨቅሊስ
minimize = ጨቀለሰ
ቀስ አለ (በቀስታ ሄደ) የሚለውን ፈጣን ከሚለው ጋር በማመሳሰል ቀሳን (slow) የሚለውን ቃል እናገኛለን። ቀሳን ማለት ቀስተኛ፣ በቀስታ የሚሄድ ማለት ነው። በሌላ አባባል ቀሳን የፈጣን ተቃራኒ ነው። ግሱም ሲረባ ቀሰነ ፣ ቅስን (ቅሱን)፣ ቀሳኒ (ቀሳኝ)፣ ቅሰና፣ ቅስነት እያለ ይሄዳለ። ቀሰነ የፈጠነ ተቃራኒ ሲሆን፣ ቅሰና የፈጠና፣ ቅስነት ደግሞ የፍጥነት ተቃራኒወች ናቸው። ቅሰና እና ቅስና (ቄስነት) እንዳይምታቱብወት አደራ፣ ምንም ግንኙነት የላቸውምና።
fast = ፈጣን
slow = ቀሳን
ነጸረ (አየ፣ ተመለከተ፣ አስተዋለ) የሚለው የግእዝ ቃል observe የሚለውን የንግሊዘኛ ቃል ይተካልናል። ግሱም ሲረባ ነጸረ (observe)፣ ንጹር (observed)፣ ነጻሪ (observer)፣ ነጸራ (observing, observation) እያለ ይሄዳል። ነጸራ (observation) ማለት በጥንቃቄ ማስተዋል ወይም መመርመር ማለት ነው።
በሌላ አባባል ነጸራ (observation) ማለት ቱማወችን (data) በጥንቃቄ መሰብሰብ ማለት ነው። ቱማ (data) ማለት መረጃ ማለት ሲሆን፣ ቃሉ የተገኘው ከወላይትኛ ነው። በወላይትኛ ቱማ ማለት ውነት፣ ሐቅ ማለት ነው።
observe = ነጸረ
observer = ነጻሪ
observation = ነጸራ
datum (data) = ቱማ፣ ቱማወች
ያማረኛ አነጻጸር (comparison) የተንዛዛ ከመሆኑም በላይ አሻሚነት አለው። ለምሳሌ ያህል ትልቅ በሚለው ቅጽል ለማነጻጸር ስንፈልግ፣ በጣም ትልቅ፣ እጅግ በጣም ትልቅ እንላለን። በጣም ትልቅ ስንል ግን ያንድን ነገር ትልቅነት እየገለጽን ወይም ደግሞ የሁለት ነገሮችን ትልቅነት እያነጻጸርን ሊሆን ይችላል። ይህን አሻሚነትና መንዛዛት ለማስወገድ ስል፣ ላማረኛ ንጽጽርን በሚከተለው መንገድ ፈጥሬለታለሁ።
ለምሳሌ ያህል ጥሩ (good) የሚለውን ብንወስድ፣ በጣም ጥሩ ለማለት ፐጥሩ (better) እንላለን፣ እጅግ በጣም ጥሩ ለማለት ደግሞ ዠጥሩ (best) እንላለን። ፊደሎች ፐ እና ዠ ለንጽጽር የተመረጡበት ምክኒያት፣ በነዚህ ፊደሎች የሚጀምሩ ብዙ ቃሎች ስለሌሉ ነው።
fast, faster, fastest = ፈጣ፣ ፐፈጣን፣ ዠፈጣን
slow, slower, slowest = ቀሳን፣ ፐቀሳን፣ ዠቀሳን
large, larger, largest = ትልቅ፣ ፐትልቅ፣ ዠትልቅ
smaller, smaller, smallest = ትንሽ፣ ፐትንሽ፣ ዠትንሽ
near, nearer, nearest = ቅርብ፣ ፐቅርብ፣ ዠቅርብ
far, farther, farthest = ሩቅ፣ ፐሩቅ፣ ዠሩቅ
ለተጨማሪ ማብራሪያ ማጥበቅ፣ ማላላትና ማርዘም የሚለውን ጦማር ይመልከቱ።
ፉንባ (ellipse) ማለት ሞላላ ክብ እንደማለት ሲሆን፣ ቃሉ የተገኘው ፉፉልያ ማለትም እንቁላል ከሚለው የወላይትኛ ቃል፣ እንዲሁም ቡጴ ማለትም እንቁላል ከሚለው የኦሮምኛ ቃል ነው።

የፉንባ ሙለት (eccentricity) ማለት የፉንባውን ሞላላነት፣ ማለትም ፉንባው ከክብነት ያለውን ርቀት የሚገልጽ እሴት ሲሆን፣ በፊደል e ይወከላል።

ከፉንባ ሙለት (eccentricity) ቀመር (formula) መረዳት እንደሚቻለው የፉንባ ሙለት ገብዲስ እሴት (maximum value) e = 1 ሲሆን፣ ጨቅሊስ እሴቱ (minimum value) ደግሞ e = 0 ነው።



ያንድ ፉንባ ንፍቃብይ ረቲድ (semi-major axis) a ከሆነና የፉንባው ንፍቀኑስ ረቲድ (semi-minor axis) ደግሞ b ከሆነ፣ የፉንባው ስፋት (area) እና ዙርዝመት (perimeter) ወይም ሠቅርመት (circumference) በሚከተሉት ቀመሮች (formulas, formulae) ይሰጣሉ።

ምድር ከፀሐይ ያላት ርቀት በብርሃን ፍጥነት አንጻር ሲገለጽ 8 ደቂቃ (8 minutes) ብቻ ነው። በሌላ አባባል ብርሃን ከፀሐይ ተነስቶ ምድር ለመድረስ የሚፍጀበት ጊዜ 8 ደቂቃ ብቻ ነው።
በሌላ በኩል ደግሞ ሰሬ (Sirius) ወይም ውሻ ኮኮብ (Dog Star) የሚባለውን ከሁሉም የሰማይ ኮኮቦች የበለጠ ብሩህ (the brightest star in the sky) የሆነውን ኮኮብ እንውሰድ። ሰሬ ማለት በኦሮምኛ ውሻ ማለት ነው። ብርሃን ከሰሬ ተነስቶ ምድር ለመድረስ የሚፈጅበት ጊዜ 8.6 ዓመት ወይም 4.5 ካልጃኖ ደቂቃ (4.5 million minutes) ነው። ይህ ማለት ደግሞ ሰሬ ከምድር ያለው ርቀት ፀሐይ ከምድር ያላትን ርቀት 565 ሺ ጊዜ ይበልጣል ማለት ነው።
ስለዚህም ምድር በፀሐይ ዙርያ ስትዞር የምትጓዘው ርቀት፣ምድር ከሰሬ ካላት ርቀት ጋር ሲነጻጸር ኢምንት ስለሆነ፣ ምድር ከሰሬ አንጻር እንደማትንቀሳቀስ ተድረጎ ሊወሰድ ይችላል። በሌላ አባባል ከፀሐይ አንጻር ስትታይ ምድር በፀሐይ ዙርያ ብትዞርም፣ ከሰሬ አንጻር ስትታይ ግን ምድር ካለችበት የማትንቀሳቀስ፣ ማለትም ቅምጠቷን (position) የማትለወጥ ረፍቅ (stationary) ናት ብሎ በከፍተኛ ቅርበዛ (very high approximation) መናገር ይቻላል። አብዛኞቹ ሩቅ ኮኮቦች (distant stars) ደግሞ ከምድር ያሏቸው ርቀቶ በመቶ እንዲሁም በሺ የብርሃን ዓመታት የሚቆጠር ነው። ይህ ደግሞ ምድር ከሩቅ ኮኮቦች አንጻር ርፍቅ (stationary) ናት የሚለውን ቅርበዛ (approximation) የበለጠና የበለጠ ትክክለኛ ያደረገዋል።
ርፍቅ (stationary) ማለት ካለበት የማይንቀሳቀስ፣ ማለትም ቅምጠቱን (position) የማይለወጥ ማለት ሲሆን፣ ቃሉ የተገኘው ረፈቀ (ወዘፈ፣ አስቀመጠ) ከሚለው ያማረኛ ቃል ነው።
ምድር በፀሐይ ዙርያ ብትዞርም፣ ከሩቅ ኮኮቦች አንጻር ግን ካለችበት የማትንቀሳቀስ ርፍቅ (stationary) ናት።
ምድር ከሩቅ ኮኮቦች አንጻር ርፍቅ የምትመስልበትን ሁኔታ በሚከተለው ምሳሌ መረዳት ይቻላል። አንድ አሞራ ባናታችን ላይ ስታልፍ በጣም ፈጣን ትመስለናለች። አሞራዋ ከኛ በጣም ርቃ ወደ አድማስ ስትጠጋ ግን፣ የምትንቀሳቀስ አይመስለንም። ለዚህ ምክኒያቱ ደግሞ አሞራዋ በፍጥነቷ ሳቢያ የምትጓዘው ርቀት፣ ከኛ ካላት ርቀት ጋር ሲነጻጸር ኢምንት በመሆኑ ነው።
ምድር ከሩቅ ኮኮቦች አንጻር ረፍቅ (stationary) ብትሆንም፣ ማለትም ቅምጠቷን (position) ባትለውጥም፣ በረቲዷ (axis) ማለትም በዛቢያዋ ላይ ግን ከፀሐይም ከሩቅ ኮኮቦችም አንጻር ትፎራለች (spin)፣ ፉረት ማለት አቅጣጫን መለወጥ ማለት ነውና።
በምድር ላይ ዕለት (day) ሲባል ቀን (daytime, day time) እና ሌት (nighttime, night time) ተብሎ በሁለት እኩሌታወች (ማለትም ግማሾች) ይከፈላል። ቀን ማለት ባብዛኛው ብርሃን የሆነው (ማለትም ፀሐይ ካድማስ በላይ የሆነችበት) የዕለት ግማሽ ሲሆን፣ ሌት ማለት ደግሞ ባብዛኛው ጨለማ የሆነው (ማለትም ፀሐይ የጠለቀችበት) የዕለት ግማሽ ነው። ሌት የሚለው ቃል የተገኘው ሌሊት የሚለውን በማሳጠር ነው።
የምድር የዕለት ርዝመት (length of the day) የሚወሰነው ምድር በፉረት ረቲዷ(rotation axis) ማለትም በሽክርክረት ዛቢያዋ ላይ እንደ እንዝርት እየተሽከረከረች እቅጩን አንድ ሙሉ ፉረት (rotation) ለመፉረር በሚፈጅባት ጊዜ ነው። ይህ ጊዜ ደግሞ የምድር ፉረታዊ ናኖመን (rotational period) ይባላል። በሌላ አባባል ዕለት ማለት የምድር ፉረታዊ ናኖመን ማለት ነው። ናኖመን (period) ማለት ክፍለ ጊዜ ማለት ሲሆን፣ ቃሉ የተገኘው ናኖ (ክብ) ከሚለው የኦሮምኛ ቃል እና ዘመን ከሚለው ቃል ነው።
የምድር የዕለት ርዝመት ፀሐይን መሠረት በማድረግ ወይም ሩቅ ኮኮቦችን መሠረት በማድረግ እንደመለካቱ ይለያያል። ፀሐይን መሠረት በማድረግ የሚለካ የምድር ዕለት ጀንበራዊ ዕለት (solar day) ሲባል፣ ሩቅ ኮኮቦች መሠረት በማድረግ የሚለካ የምድር ዕለት ደግሞ ኡርጃዊ ዕለት (sidereal day) ይባላል። ኡርጃዊ (sidereal) የሚለው ቃል የተገኘው ኡርጂ (ማለትም ኮኮብ) ከሚለው የኦሮምኛ ቃል ነው።
ጀንበራዊ ዕለት (solar day) ማለት ምድርላይ በቆመ ነጻሪ (observer) አመለካከት ፀሐይ በተከታታይ እቅጩን ካናት በላይ ለመሆን የሚፈጅባት ጊዜ ነው። በተመሳሳይ መንገድ ኡርጃዊ ዕለት (sidereal day) ማለት ምድር ላይ በቆመ ነጻሪ (observer) አመለካከት አንድ ሩቅ ኮኮብ (distant star) በተከታታይ እቅጩን ካናት በላይ ለመሆን የሚፈጅባት ጊዜ ነው።
የጀንበራዊ ዕለትና የኡርጃዊ ዕለት ርዝመቶች የተለያዩ የሆኑበት ምክኒያት ምድር በፀሐይ ዙርያ ስለምትሖር ከሩቅ ኮኮቦች አንጻር ግን ርፍቅ (stationary) ስለሆነች ነው። ይህም መሆኑን ደግሞ በሚከተለው ሱርፊክ (figure) ላይ መመልከት ይቻላል።

solar day =ጀንበራዊ ዕለት
mean solar day = አማካይ ጀንበራዊ ዕለት
sidereal day = ኡርጃዊ ዕለት
mean sidereal day = አማካይ ኡርጃዊ ዕለት


የኡርጃዊ ዕለት (sidereal day) ርዝመት ከጀንበራዊ ዕለት (solar day) ርዝመት በአራት ደቂቃ (4 minutes) ያንሳል ማለት፣ ባንድ ምሽት ላይ ከፀሐይ ጋር እቅጩን \አብራ/ ከምሥራቅ አድማስ የወጣች ኮኮብ፣ በሚቀጥለው ምሽት ላይ ከምሥራቅ አድማስ የምትወጣው 4 ደቂቃ ቀድማ ነው ማለት ነው። ምሽት ሰማይ ላይ የሚታዩት ኮኮቦች ከወቅቶች ጋር የሚለዋወጡት በዚህ ምክኒያት ነው።

ፈለክ (planet) ማለት ምድርን የመሰለ፣ በፀሐይ ዙርያ የሚሖር (revolve) [ማለትም የሚዞር]፣ የራሱን ብርሃን የማያመነጭ ግዙፍ አካል ማለት ሲሆን፣ ቃሉም የግእዝ ነው። በፀሐይ ዙርያ የሚሖሩ ዘጠኝ ፈለኮች አሉ። እነሱም ከፀሐይ ያላቸውን ርቀት መሠረት በማድረግ ሃዴተል (Mercury)፣ ክሌተል (Venus)፣ ሥሌተል (Earth)፣ ራቤተል (Mars)፣ ሃሜተል (Jupiter)፣ ሳዴተል (Saturn)፣ ሳቤተል (Uranus)፣ ሳሜተል (Neptune) እና ታሴተል (Pluto) ይባላሉ። እነዚህ ስያሜወች የተገኙት ደግሞ ሃዴ፣ ክሌ፣ ስሌ፣ ራቤ፣ ሃሜ፣ ሳዴ፣ ሳቤ፣ ሳሜ፣ ታሴ ከሚሉት የቁጥር ፊልጡፎች (number prefixes) ላይ “ተል” የሚለውን ኋልጡፍ (suffix) በመጨመር ነው። ይህ “ተል” የሚባል ኋልጡፍ የተገኘው ደግሞ ተላይ (ተከታይ) ከሚለው የግእዝ ቃል ነው፣ ፈለኮች የፀሐይ ተከታይ ጭፍራወች ናቸውና።

ያማረኛወቹ የፈለኮች ስያሜወች እንደ እንግሊዘኛወቹ የዘፈቀደ ሳይሆኑ፣ የፈለኮቹን ቅምጠቶች (positions) የሚገልጹ፣ በስርካት የተሰረከቱ (systematized) ማለትም ስርካትን (system) የተከተሉ፣ ትርጉም ያላቸውና በቀላሉ የሚታወሱ መሆናችውን ይስተውሉ።
ምድርን (ማለትም ስሌተልን) እና ፀሐይን በተመለከተ ፈለኮች ሃዴተል (Mercury) እና ክሌተል (Venus) ከምድር ፊትጌ (ማለትም በፊት በኩል) ስለሆኑ ፊትጌ ፈለኮች ( inferior planets) ይባላሉ። ፈለኮች ራቤተል (Mars)፣ ሃሜተል (Jupiter)፣ ሳዴተል (Saturn)፣ ሳቤተል (Uranus)፣ ሳሜተል (Neptune) እና ታሴተል (Pluto) ደግሞ ከምድር ኋልጌ (ማለትም በኋላ በኩል) ስለሆኑ፣ ኋልጌ ፈለኮች (superior planets) ይባላሉ።
inferior planets = ፊትጌ ፈለኮች
superior planets = ኋልጌ ፈለኮች

በጀንበራዊ ስርካት (solar system) ውስጥ ከፈለኮች በተጨማሪ ፀሐይን የሚሖሩ (revolve) ኑስለክ (asteroid) የሚባሉ አናሳ አካሎች አሉ። ኑስለክ የሚለው ቃል የተገኘው እኑስ (ኑስ) እና ፈለክ ከሚሉት ቃሎች ነው።
አብዛኞቹ ኑስለኮች ፀሐይን የሚሖሩት (ማለትም በፀሐይ ዙርያ የሚዞሩት) ባጠቃላይ ሲጠሩ ኑስለክ ሠቅ (asteroid belt) በሚባሉ በራቤተል (Mars) እና በሃሜተል (Jupiter) መካከል በሚገኙ ምሕዋሮች (orbits) ነው።

ፀሐይን እና ኑስለክሠቅን (asteroid belt) በተመለከተ፣ በውስጥ በኩል ያሉ (ማለትም በፀሐይና በኑስለክ ሠቅ መካክል ያሉ) ፈለኮች ውስጥጌ ፈለኮች (inner planet) ሲባሉ፣ በውጭ በኩል ያሉ (ማለትም ከፀሐይና ከኑስለክ ሠቅ ውጭ ያሉ) ፈለኮች ደግሞ ውጭጌ ፈለኮች (outer planets) ይባላሉ።
ስለዚህም ሃዴተል (Mercury)፣ ክሌተል(Venus)፣ ስሌተል (Earth) እና ራቤተል (Mars) ውስጥጌ ፈለኮች (inner planets) ሲሆኑ፣ ሃሜተል (Jupiter)፣ ሳዴተል (Saturn)፣ ሳቤተል (Uranus)፣ ሳሜተል (Neptune) እና ታሴተል (Pluto) ደግሞ ውጭጌ ፈለኮች ናቸው ማለት ። ወደፊት በሌላ ጦማር ላይ እንደምንምለከተው ውስጥጌ ፈለኮች ተመሳሳይ ጠባይ አላቸው፣ ውጭጌ ፈለኮችም እንደዚሁ።
inner planets = ውስጥጌ ፈለኮች
outer planets = ውጭጌ ፈለኮች

ማናቸውም ፈለክ (planet) ፀሐይን እንድ ሙሉ ዙር ለመዞር የሚፈጅበት ጊዜ የፈለኩ ዓመት (year of the planet) ወይም የፈለኩ ናኖመን (period of the planet) ይባላል። ናኖመን (period) ማለት ክፍለ ጊዜ ማለት ሲሆን፣ ቃሎ የተገኘው ናኖ (ክብ) ከሚለው የኦሮምኛ ቃል እና ዘመን ከሚለው ቃል ነው።
የፈለክ ዓመት ርዝመት እሴት (value) ርዝመቱን \የሚለካው/ ፀሐይ ላይ የቆመ ነጻሪ ወይም ምድር ላይ የቆመ ነጻሪ እንደመሆኑ ይለያያል። ፀሐይ ላይ በቆመ ነጻሪ የሚለካ የፈለክ ዓመት ኡርጃዊ ዓመት (sidereal year) ሲባል፣ ምድር ላይ በቆመ ነጻሪ የሚለካ የፈለክ ዓመት ደግሞ ሲኖዳዊ ዓመት (synodic year) ይባላል። ሲኖድ (synod) የሚለው ቃል የተገኘው እንግሊዘኛውን እንዳለ በመውሰድ ሲሆን፣ ሲኖዶስ ማለት ደግሞ በግሪክኛ ጉባኤ፣ ሸንጎ፣ ስብሰባ ማለት ነው።
ያንድ ፈለክ ኡርጃዊ ዓመት (sidereal year) ማለት ፀሐይ ላይ የቆመ ነጻሪ ፈለኳን ከሩቅ ኮኮቦች (distant stars) አንጻር ሲያጤናት፣ ካንድ ቅምጥት (position) ተነስታ ተመልሳ እቅጩን (precisely) እዚያው ቅምጠት ለመድረስ የሚፈጅባት ጊዜ ማለት ነው። በተመሳሳይ መንገድ ያንድ ፈለክ ሲኖዳዊ ዓመት (sidereal year) ማለት ምድር ላይ የቆመ ነጻሪ ፈለኳን ከሩቅ ኮኮቦች (distant stars) አንጻር ሲያጤናት፣ ካንድ ቅምጥት (position) ተነስታ ተመልሳ እቅጩን እዚያው ቅምጠት ለመድረስ የሚፈጅባት ጊዜ ማለት ነው።
ለምሳሌ ያህል ከምድር (እንዲሁም ከፀሐይ) ያለው ረቀት 80 የብርሃን ዓመት (light year) የሆነውን ሚላ (Regulus) የሚባለውን ሩቅ ኮኮብ (distant) እንውሰድ። ሚላ ማለት በኦሮምኛ እግር ማለት ነው፣ ይህ ኮኮብ የሚገኘው አንበሳ (Leo) በሚባለው ጅርኮብ (constellation) እግር ላይ ነውና። የዚህ ጅርኮብ ሌሎቹ ብሩህ ኮኮቦች ባንበሳው ጅራት ላይ ስለሚወል ኤጎላ (Denebola) የሚባለውና፣ ባንበሳው ጋማ ላይ ስለሚወል ጋማ (Algieba) የሚባለው ኮኮብ ናቸው።
ኤጎላ (Denebola) የሚለው ስያሜ የተገኘው ኤጌ (ማለትም ጅራት) ከሚለው የኦሮምኛ ቃል ነው። ራሱ ኤጌ (Deneb) ደግሞ ቃቃኖ (Cygnus) ወይም ሰሜናዊ መሰቀል (Northern Cross) በሚባል ሌላ ጅርኮብ (constellation) ጅራት ላይ የሚገኝ ብሩህ ኮኮብ ነው። ጅርኮብ አንበሳ (constellation Leo) በጸደይ (spring) ምሽት (ማለትም ከመጋቢት አጋማሽ እስከ ሰኔ አጋማሽ) ባገራችን በጦቢያ ሰማይ ላይ፣ ባጠቃላይ ደግሞ አገራችን ጦቢያ በምትገኝበት ሰሜን ንፍቀሉል (northern hemisphere) ሰማይ ላይ በጉልህ ይታያል። ጅርኮብ (constellation) የሚለው ቃል የተገኘው የኮኮቦ ጅሪ የሚለውን ሐረግ በማሳጠር ሲሆን፣ ጅሪ ማለት ደግሞ መንጋ (በተለይም ደግሞ የዝንጀሮ) ማለት ነው። ስለ ጅርኮቦች ወደፊት በሌላ ጦማር ላይ በሰፊው እናወሳለን።

ፀሐይ ላይ የቆመ ነጻሪ እንድን ፈለክ ሲያጠናት ባንድ ቅጽበት እቅጩን በሚላ (Regulus) ትክክል ሆነች እንበል። በዚህ ፀሐይ ላይ በቆመ ነጻሪ አመለካከት ፈለኳ ተመልሳ እቅጩን በሚላ ትክክል ለመሆን የሚፈጅባት ጊዜ የፈለኳ ኡርጃዊ ዓመት (sidereal year of the planet) ይሆናል። የፈለክ ኡርጃዊ ዓመት ፀሐይ ላይ በቆመ ነጻሪ ስለሚለካ ፈለኩ ፀሐይ አንድ ሙሉ ዙር ለመዞር የሚፈጅባትን ጊዜ በትክክል (correctly) ይሰጣል።
በተመሳሳይ መንገድ ምድር ላይ የቆመ ነጻሪ እንድን ፈለክ ሲያጠናት ባንድ ቅጽበት እቅጩን በሚላ ትክክል ሆነች እንበል። በዚህ ምድር ላይ በቆመ ነጻሪ አመለካከት ፈለኳ ተመልሳ እቅጩን በሚላ ትክክል ለመሆን የሚፈጅባት ጊዜ የፈለኳ ሲኖዳዊ ዓመት (synodic year of the planet) ይሆናል።
period = ናኖመን
sidereal period = ኡርጃዊ ናኖመን
sidereal year = ኡርጃዊ ዓመት
synodic period = ሲኖዳዊ ናኖመን
synodic year = ሲኖዳዊ ዓመት
የፈለክ ሲኖዳዊ ዓመት ምድር ላይ በቆመ ነጻሪ ስለሚለካ ፈለኩ ፀሐይ አንድ ሙሉ ዙር ለመዞር የሚፈጅባትን ጊዜ በትክክል (correctly) አይሰጥም፣ ምክኒያቱም ምድርም ራሷ በፀሐይ ዙርያ ትዞራልችና። ለምሳሌ ያህል የመኪና ፍጥነት ምድር ላይ በቆም ነጻሪ (observer) ሲለካና መኪናውን በሚከታተል ሌላ መኪና ውስጥ በተሳፈረ ነጻሪ (observer) ሲለካ እሴቱ (value) የተለያየ ነው። የመኪናውን ምድራዊ ፍጥነት በትክክል የሚለካው ምድር ላይ የቆመው ነጻሪ ነው። በተመሳሳይ መንገድ ፈለኮች በፀሐይ ዙርያ የሚዞሩበትን ፍጥነት በትክክል መለካት የሚችለው ፀሐይ ላይ የቆመ ነጻሪ ብቻ ነው።
ምድር ላይ ቁሞ ባጠገቡ የሚያልፍን መኪና የሚነጸር ነጻሪ የመኪናውን ፍጥነት (ከምድር አንጻር) መለካት እንደሚችል ሁሉ፣ መኪናው ውስጥ የተሳፈረ ተሳፋሪ ደግሞ በመንገዱ ዳር ያሉት ዛፎች ከመኪናው አንጻር ያላቸውን ፍጥነት በመለካት የመኪናውን ፍጥነት መለካት ይችላል።
በተመሳሳይ መንገድ፣ ፀሐይ ላይ የቆመ ነጻሪ ምድር በተከታታይ ከሩቅ ኮኮብ ጋር እቅጩን ትክክል ለመሆን የሚፈጅባትን ጊዜ በመለካት የምድርን ኡርጃዊ ናኖመን (sidereal period of the Earth) ማግኘት እንደሚችል ሁሉ፣ ምድር ላይ የቆመ ነጻሪ ደግሞ ፀሐይ በተከታታይ ከሩቅ ኮኮብ ጋር እቅጩን ትክክል ለመሆን የሚፈጅባትን ጊዜ በመለካት የምድርን ኡርጃዊ ናኖመን (sidereal period of the Earth) መለካት ይችላል።
ምድራውያን የምድርን ኡርጃዊ ናኖመን (sidereal period of the earth) መለካት ይችላሉ። መለካት የማይቸሉት የሌሎቹን ፈለኮች ኡርጃዊ ናኖመኖች (sidereal periods of other planets) ነው። በተመሳሳይ መንገድ በያንዳንዱ ፈለክ ላይ የቆመ ነጻሪ የዚያን ፈለክ ኡርጃዊ ናኖመን መለካት ይችላል፣ የሌሎቹን ፈለኮች ኡርጃዊ ናኖመኖች ግን መለካት አይችልም።
በተጨማሪ ደግሞ የፈለክ ሲኖዳዊ ናኖመን (synodic period) ማለት ምድር ላይ በቆመ ነጻሪ የሚለካ ናኖመን (period) ማለት ስለሆነ፣ ምድራውያን የሌሎቹን ፈለኮች ሲኖዳዊ ናኖመኖች (synodic periods) መለካት ይችላሉ።
በሌላ በኩል ግን ምድር ላይ የቆመ ነጻሪ የሌሎቹን ፈለኮች ኡርጃዊ ናኖመኖች (sidereal period) መለካት አይችልም። የሌሎቹን ፈለኮቹ ኡርጃዊ ናኖመኖች መለካት የሚችለው ፀሐይ ላይ የቆመ ነጻሪ ወይም በየፈለኮቹ ላይ የቆመ ነጻሪ ብቻ ነው።
ስለዚህም ምድራውያን ጠፈርሲነኛወች (astronomers) በቀጥታ መለካት (directly measure) የሚችሉት
ብቻ ነው ማለት ነው።
የምድር ኡርጃዊ ናኖመን (sidereal period of the Earth) 365.242 ዕለት ነው። ማለትም ምድር ፀሐይን አንድ ሙሉ ዙር ለመዞር የሚፈጅባት ትክክለኛ ጊዜ 365.242 ዕለት ነው። እዚህ ላይ ዕለት (day) ስንል አማካይ ጀንበራዊ ዕለት (mean solar day) ማለትም እቅጩን (precisely) 24 ሰዓት ማለታችን ነው። የምድር ኡርጃዊ ናኖመን የምድር ኡርጃዊ ዓመት (sidereal year of the Earth) ወይም የምድር ዓመት ወይም ባጭሩ ዓመት ይባላል።
የፈለኮችን ኡርጃዊ ናኖመኖች በቀጥታ መለካት የሚችሉት ፀሐይ ላይ የቆመ ነጻሪ ወይም ደግሞ በየፈለኮቹ ላይ የቆሙ ነጻሪወች ብቻ ናቸው። ምድራውያን ግን የፈለኮችን ኡርጃዊ ናኖመኖች በቀጥታ መለካት አይችሉም።
ምድራውያን የሌሎቹን ፈለኮች ኡርጃዊ ናኖመኖች (sidereal periods) ማግኘት የሚችሉት በልኬት (measurement) ሳይሆን በስሌት (calculation) ነው። የስሌቱ ቀመር (formula) ደግሞ ከምድር ፊት ለፊት ለሆኑት ፊትጌ ፈለኮች (inferior planet) እና ከምድር በስተኋላ ለሆኑት ኋልጌ ፈለኮች (superior planets) የተለያየ ነው።

ለምሳሌ ያህል ለፀሐይ ዠቅርብ (closest) የሆነችው የሃዴተል (Mercury) ሲኖዳዊ ናኖመን (synodic period) በምድር ዓመት አንጻር ሲገለጽ 0.32 ዓመት ወይም ደግሞ በምድር ዕለት አንጻር ሲገለጽ 116 ዕለት ነው። ሃዴተል ደግሞ ከምድር በስተፊት የምትገኝ ፊትጌ ፈለክ (inferior planet) ናት። ስለዚህም የሃዴተል ኡርጃዊ ናኖመን (sidereal period) በምድር ዓመት ሲገለጽ

ይሆናል። ስለዚህም ሃዴተል ፀሐይን አንድ ሙሉ ዙር ለመዞር የሚፈጅባት ጊዜ ምድር ላይ ከቆመ ነጻሪ አንጻር 116 የምድር ዕለት ሲሆን፣ ፀሐይ ላይ ከቆመ ነጻሪ አንጻር ግን 89 የምድር ዕለት ብቻ ነው ማለት ነው። በሌላ አባባል ሃዴተል (Mercury) ፀሐይን እቅጩን አንድ ሙሉ ዙር ለመዙር የሚፈጅባት ትክክለኛ ጊዜ 89 የምድር ዕለት ነው ማለት ነው።
ሌላ ምሳሌ ለመስጠት ያህል ከፈለኮች ሁሉ ዥትልቅ (largest) የሆነቸው የሃሜተል (Jupiter) ሲኖዳዊ ናኖመን (synodic period) በምድር ዓመት አንጻር ሲገለጽ 1.1 ዓመት ወይም ደግሞ በምድር ዕለት አንጻር ሲገለጽ 399 ዕለት ነው። ሃሜተል ደግሞ ከምድር በስተኋላ የምትገኝ ኋልጌ ፈለክ (superior planet) ናት። ስለዚህም የሃሜተል ኡርጃዊ ናኖመን (sidereal period) በምድር ዓመት ሲገለጽ

ይሆናል። ስለዚህም ሃሜተል ፀሐይን አንድ ሙሉ ዙር ለመዞር የሚፈጅባት ጊዜ ምድር ላይ ከቆመ ነጻሪ አንጻር 399 የምድር ዕለት ሲሆን፣ ፀሐይ ላይ ከቆመ ነጻሪ አንጻር ግን 4017 የምድር ዕለት ነው ማለት ነው። በሌላ አባባል ሃሜተል (Jupiter) ፀሐይን እቅጩን አንድ ሙሉ ዙር ለመዙር የሚፈጅባት ትክክለኛ ጊዜ 4017 የምድር ዕለት ነው ማለት ነው።

ጀርመናዊው ጠፈርሲነኛ (astronomer) ዮሐንስ ኬፕለር (Johannes Kepler) አስተማሪው የነበረው ዴንማርካዊው ጠፈርሲነኛ ታይኮ ብራሄ (Tycho Brahe) በከፍተኛ ጥንቃቄ የሰበሰባቸውን የፈለኮችን ሑሰት የተመለከቱ ቱማወች (data) በጥልቅ ከመረመረ በኋላ፣ የፈለኮችን ሑሰቶች (motions of planets) የሚገዙ ሦስት ሕጎችን ። እነዚህም በዮሐንስ ኬፕለር የተሐገጉ የፈለክ ሑሰት ሕጎች
ይባላሉ።
ባንደኛው የኬፕለር ሕግ (Kepler’s first law) መሠረት በጀንበራዊ ስርካት (solar system) ውስጥ የሚገኙት ሁሉም ፈለኮች (all planets) ጀንበርን ማለትም ፀሐይን የሚዞሩት የፉንባ (ellipse) ቅርጽ ባለው ፉንባዊ ምሕዋር (elliiptical orbit) ነው። በዚህም ምክኒያት አንደኛው የኬፕለር ሕግ የፉንባዊ ምሕዋሮች ሕግ (the law of elliptical orbits) በመባልም ይታወቃል።
በማናቸውም ፈለክ ፉንባዊ ምሕዋር (elliptical orbit) ላይ ፀሐይ የምትገኘው ባንደኛው የፉንባው አቲክ (focus) ላይ ሲሆን፣ ሌላኛው የፉንባው አቲክ ደግሞ ምንም የሌለበት ወና (vacuum) ነው። ባማረኛ ወና ወይም ኦና ማለት ባዶ፣ ጠፍ፣ ምንም የሌለበት ማለት ነው።
እንደኛው የኬፕለር ሕግ (የፉንባዊ ምሕዋሮች ሕግ )፤ በጀንበራዊ ስርካት (solar system) ውስጥ የሚገኝ እያንዳንዱ ፈለክ (planet) ባንደኛው አቲክ (focus) ላይ ፀሐይ በምትገኝበት፣ ሌላኛው አቲክ ደግሞ ወና (vacuum) በሆነ ፉንባዊ ምሕዋር (elliptical orbit) ፀሐይን ይሖራል።

የፉንባ ፊጣወች (vertices) ማለት በፉንባው ዳርቻ ላይ የሚውሉት የፉንባው ዐብይ ረቲድ (major axis) ጫፎች ናቸው።

ስለዚህም ማናችውም ፈለክ በፉንባዊ ምሕዋሩ ላይ ፀሐይን ሲሖር ባንደኛው የፉንባው ፊጣ (vertex) ላይ ሲደርስ ለፀሐይ ዠቅርብ (nearest) ይሆናል፣ በሌላኛው የፉንባው ፊጣ (vertex) ላይ ሲደርስ ደግሞ ለፀሐይ ዠሩቅ (farthest) ይሆናል ማለት ነው። ዠቅርብ (nearest) ማለት ከሁሉም የበለጠ ቅርብ ማለት ሲሆን፣ ዠሩቅ (farthest) ማለት ደግሞ ከሁሉም የበለጠ ሩቅ ማለት ነው።
ማናቸው ፈለክ ለፀሐይ ዠቅርብ (nearest) የሚሆንበት የፈለኩ ፉንባዊ ምሕዋር ፊጣ (vertex) በልዩ ስም ፀሐይላዶ (perihelion) ሲባል፣ ዠሩቅ (furthest) የሚሆንበት የፈለኩ ፉንባዊ ምሕዋር ፊጣ ደግሞ በልዩ ስም ፀሐይማዶ (aphelion) ይባላል። ፀሐይላዶ (perihelion) የሚለው ቃል የተገኘው ፀሐይ እና ላዶ (adjacent) ከሚሉት ቃሎች ሲሆን፣ ፀሐይማዶ (aphelion) የሚለው ቃል የተገኘው ደግሞ ፀሐይ እና ማዶ ከሚሉት ቃሎች ነው። ላዶ (adjacent) ማለት ጎረቤት እንደ ማለት ሲሆን፣ ቃሉ የተገኘው ዶላ (ጎረቤት) ከሚለው የኦሮምኛ ቃል ነው። ማዶ ደግሞ የላዶ ተቃራኒ ነው።
አንድ ፈለክ ፀሐይላዶ (perihelion) ላይ ስትሆን ከፀሐይ ያላት ርቀት ፀሐይላዶ ርቀት (perihelion distance) ወይም ባጭሩ ፀሐይላዶ (perihelion) ሲባል፣ ፀሐይማዶ (aphelion) ላይ ስትሆን ከፀሐይ ያላት ርቀት ደግሞ ፀሐይማዶ ርቀት (aphelion distance) ወይም ባጭሩ ፀሐይማዶ (aphelion) ይባላል።
perihelion = ፀሐይላዶ
perihelion distance = ፀሐይላዶ ርቀት ባጭሩ ፀሐይላዶ
aphelion = ፀሐይማዶ
aphelion distance = ፀሐይማዶ ርቀት ባጭሩ ፀሐይማዶ

የማናቸውም ፈለክ ፀሐይላዶ ርቀት (perihelion distance) እና ፀሐይማዶ ርቀት (aphelion distance) ድምር ከፈለኩ ፉንባዊ ምሕዋር ዐብይ ረቲድ (major axis) ጋር እኩል ሲሆን፣ የነዚህ ርቀቶች አማካይ (average) ደግሞ ከምሕዋሩ ንፍቃብይ ረቲድ (semi-major axis) ጋር እኩል ነው።


የማናቸውም ፈለክ ፀሐይላዶ ርቀት (perihelion distance) ፈለኩ ከፀሐይ ያለው ጨቅሊስ ርቀት (minimum distance) ማለትም ከሁሉም ያነሰ ርቀት ነው። በተመሳሳይ መንገድ የማናቸውም ፈለክ ፀሐይላዶ ርቀት (perihelion distance) ፈለኩ ከፀሐይ ያለው ገብዲስ ርቀት (maximum distance) ማለትም ከሁሉም የበለጠ ርቀት ነው። በዚህም ምክኒያት የማናቸውም ፈለክ ፀሐይላዶ ርቀት እና ፀሐይማዶ ርቀት አማካይ (average) ፈለኩ ከፀሐይ ያለው አማካይ ርቀት (average distance of the planet from the sun) ነው ተብሎ ይበየናል (defined)። ስለዚህም ማናቸውም ፈለክ ከፀሐይ ያለው አማካይ ርቀት የፈለኩ ፉንባዊ ምሕዋር ንፍቃብይ ረቲድ (semi-major axis) ነው ማለት ነው።
ብያኔ (definition)፤ የፈለክ ፉንባዊ ምሕዋር (elliptical orbit) ንፍቃብይ ረቲድ (semi-major axis)፣ ፈለኩ ከፀሐይ ያለው አማካይ ርቀት (average distance) ነው ተብሎ ይበየናል።
እንደማናቸውም ፈለክ ምድር ፀሐይን የምትሖረው በፉንባዊ ምሕዋር (elliptical orbit) ነው። የዚህ ፉንባዊ ምሕዋር ሙለት (eccentricity) ደግሞ e = 0.017 ስለሆነ ለዳዶ (zero) በጣም የተቃረበ ነው። ስለዚህም የምድር ፉንባዊ ምሕዋር ለፍጹም ክብነት (perfect circle) በጣም የተቃረበ ነው ማለት ነው። ምድር በዚህ ፉንባዊ ምሕዋሯ ላይ እየሖረች ፀሐይላዶ (perihelion) ላይ የምትደርሰው ጥር (January) ውስጥ ሲሆን፣ ፀሐይማዶ (aphelion) ላይ የምትደርሰው ደግሞ ሐምሌ (July) ውስጥ ነው።

የምድር ፀሐይላዶ ርቀት (perihelion distance) በቅርበዛ (approximately) 147 ሳልጃኖ ሜትር (147 billion meter, 147 million km) ሲሆን፣ የምድር ፀሐይማዶ ርቀት (aphelion distance) ደግሞ በቅርበዛ (approximately) 152 ሳልጃኖ ሜትር (157 billion meter, 157 million km) ነው። ስለዚህም ምድር ከፀሐይ ያላት አማካይ ርቀት (average distance)

ነው ማለት ነው።
ምድር ከፀሐይ ያላት አማካይ ርቀት ጠፈርሲናዊ ቶካድ (astronomical unit) ወይም ባጭሩ ጠቶ (AU) ይባላል። በሌላ አባባል ምድር ከፀሐይ ያላት አማካይ ርቀት 1ጠቶ (1 AU) ነው ማለት ነው። ቶካድ (unit) ማለት ሜትር (meter)፣ ግራም (gram) እና ደቂቃን የመሳሰለ የመጠን መግለጫ ማለት ሲሆን፣ ቃሉ የተገኘው ቶኮ (ማለትም አንድ) ከሚለው የኦሮምኛ ቃል እና አንድ ከሚለው ያማረኛ ቃል ነው።

በጀንበራዊ ስርካት (solar system) ውስጥ ርቀቶችና ርርቀቶች የሚጠቀሱት አብዛኛውን ጊዜ በጠፈርሲናዊ ቶካድ (ጠቶ) ነው። ለምሳሌ ያህል ከፀሐይ ባራተኛ ርቀት ላይ ከምድር ጀርባ የምትገኘው የራቤተል (Mars) እና የፀሐይ አማካይ ርርቀት 1.5 AU ነው። ይህም ማለት ሃሜተል ከፀሐይ ያላት አማካይ ርቀት ምድር ከፀሐይ ያላትን አማካይ ርቀት አንድ ከግማሽ ነው ማለት ነው።

ምድር በፀሐይ ዙርያ የምትሖረውን ሑረት በተመለከተ
ምድር በፀሐይ ዙርያ የምትሖርበትን አማካይ ምሕዋራዊ ፍጥነት (average orbital speed) እንደሚከተለው ማስላት እንችላለን።

ስለዚህም ምድር ፀሐይን የምትዞርበት አማካይ ምሕዋራዊ ፍጥነት (average orbital speed) 30 ሃድጃኖ ሜትር በኑሲቃ (30 kilometer per second) ነው ማለት ነው።

ስለዚህም ምድር በፀሐይ ዙርያ ስትዞር በየዕለቱ (ማለትም በ 24 ሰዓት ውስጥ) የምትጓዘው ርቀት (distance) በቅርበዛ (approximately) 2.5 ሳልጃኖ ሜትር (2.5 billion meter) ወይም 2.5 ካልጃኖ ሃድጃኖ ሜትር (2.5 million kilometer) ነው ማለት ነው።

ሁለተኛው የኬፕለር ሕግ (Kepler’s second law) የእኩል ስፋቶች ሕግ (the law of equal areas) በመባልም ይታወቃል። በዚህ ሕግ መሠረት ማናቸውም ፈለክ በፀሐይ ዙርያ በፉንባዊ ምሕዋር (elliptical orbit) ሲሖር፣ ፈለኩን ከፀሐይ የሚያገናኘው ምናባዊ መስመር (imaginary line) በእኩል ጊዜወች (equal times) ውስጥ እኩል ስፋቶችን (equal areas) ይጠርጋል (sweep) ወይም ይዳስሳል።

ማናቸውም ፈለክ በፀሐይ ዙርያ በሚዞርበት ጊዜ፣ ፈለኩን ከፀሐይ የሚያገናኘው ምናባዊ መስመር በእኩል ጊዜወች ውስጥ (እንበል ባንድ ወር ውስጥ) እኩል ስፋቶችን ይዳስስ ዘንድ፣
በጀንበራዊ ስርካት (solar system) ውስጥ እያንዳንዱ ፈለክ ፀሐይን በፉንባዊ ምሕዋር (elliptical orbit) የሚሖረው በማይለዋወጥ ቋሚ ፍጥነት ሳይሆን፣ ፈለኩ ለፀሐይ እየቀረበ ሲሄድ እየጨመረ፣ ፈለኩ ከፀሐይ እየራቀ ሲሄድ ደግሞ እየቀነሰ በሚሄድ ተለዋዋጭ ፍጥነት ነው። የፈለኩ ፍጥነት ገብዲስ (maximum) የሚሆነው ፈለኩ ፀሐይላዶ (perihelion) ላይ ሲሆን ሲሆን፣ ጨቅሊስ (minimum) የሚሆነው ደግሞ ፈለኩ ፀሐይማዶ (aphelion) ላይ ሲሆን ነው።
የኬፕለር ሁለተኛ ሕግ ቁልፍ ፀንሳብ (key concept) ይሄውና ይሄው ብቻ ነው። ፀንሳብ (concept) የሚለው ቃል የተገኘው ለማርባት ይመች ዘንድ ፅንሰ ሐሳብ የሚለውን በማሳጠር ነው። ግሱም ሲረባ ፀነሰበ (conceptualize)፣ ፅንስብ (conceptualized)፣ ፀንሳቢ (conceptualizer)፣ ፀንሰባ (conceptualization)፣ ፅንስበት፣ ፅንሳቤ፣ ፅንሳቦሽ እያለ ይሄዳል።
ለምሳሌ ያህል በቀደመ ክፍል (previous section) ላይ እንደተመለከትነው፣ የምድር አማካይ ምሕዋራዊ ፍጥነት (average orbital speed) በቅርበዛ 30 ካልጃኖ ሜትር በኑሲቃ (30 kilometer per second) ነው። ይህ ማለት ግን የምድር ምሕዋራዊ ፍጥነት የማይለዋወጥ ቋሚ (constant) ነው ማለት አይደለም። ምድር ወደ ፀሐይላዶ (perihelion) እየተቃረበች ስትሄድ ፍጥነቷ እየጨመረ ይሄዳል፣ ወደ ፀሐይማዶ (aphelion) እየተቃረበች ስትሄድ ደግሞ ፍጥነቷ እየቀነሰ ይሄዳል። ይህም ሁኔታ በሚከተለው ሱርፊክ (figure) ላይ ተመልክቷል።

የማናቸውም እሴት (value) ካልቶና (square) ማለት እሴቱን ራሱን በራሱ ሁለት ጊዜ በማባዛት የሚገኝ እሴት ማለት ነው። በተመሳሳይ መንገድ የማናቸውም እሴት ሳልቶና (cube) ማለት እሴቱን ራሱን በራሱ ሦስት ጊዜ በማባዛት የሚገኝ እሴት ማለት ነው።

ያማረኛወቹ ስያሜወች ከንግሊዘኛወቹ አቻቸው የበለጠ እጥር፣ ምጥን ያሉ ቅልጡፍ መሆናቸውን ያስተውሉ። ካልቶና (square)፣ ሳልቶና (cube)፣ ወዘተ የተገኙት ሃዴ፣ ክሌ፣ ስሌ፣ ራቤ፣ ሃሜ ወዘተ ከሚሉት በግእዝ ቁጥሮች ላይ ከተመሠረቱት ቃሎች ነው። በተመሳሳይ መንገድ
Quadratic equation = ካልቶና እኩልታ
Cubic equation = ሳልቶና እኩልታ
Quartic equation = ራብቶና እኩልታ
Quintic equation = ሃምቶና እኩልታ
እንላለን። ለተጨማሪ ማብራሪያ የቁጥሮች ስያሜወች የሚለውን ጦማር (article) ያንብቡ። ስለ ካልቶና እና ሳልቶና እኩልታወች ደግሞ ወደፊት በሌሎች ጦማሮች ላይ በሰው እናወሳለን። ስለ ካልቶና እኩልታወች (quadratic equations) እና ሳልቶና እኩልታወች (cubic equations) ደግሞ ወደፊት በሌሎች ጦማሮች ላይ በሰፊው እናወሳለን።
ማናቸውም ፈለክ ከፀሐይ ያለው አማካይ ርቀት (average) የፈለኩ ፉንባዊ ምሕዋር (elliptical orbit) ንፍቃብይ ረቲድ (semi-major axis) እንደሆነ ተመልክተናል። ሦስተኛው የኬፕለር ሕግ (Kepler’s third law) ደግሞ የማናቸውንም ፈለክ ኡርጃዊ ናኖመን (sidereal period)፣ ከፈለኩ ምሕዋር ንፍቃብይ ረቲድ ጋር ያዛምዳል። በዚህም ምክኒያት ሦስተኛው የኬፕለር ሕግ የናኖመኖች ሕግ (the law of periods) በመባልም ይታወቃል።
በኬፕለር ሦስተኛ ሕግ (Kepler’s third law) መሠረት የማናቸውም ፈለክ ኡርጃዊ ናኖመን ካልቶና (the square of sidereal period) ከፈለኩ ምሕዋር ንፍቃብይ ረቲድ ሳልቶና (the cube of semi-major axis) ጋር ቀጥተኛ ወደረኛ (directly proportional) ነው።


ከሦስተኛው የኬፕለር ሕግ የምንገነዘባቸው ዋና ዋና ቁምነገሮች የሚከተሉት ናቸው።
እንደ ማናቸውም ወደራዊነት፣ የወደራዊነት ቋሚ (proportionality) በመጠቀም የኬፕለር ሦስተኛ ሕግን ወደራዊነት ወደ እኩልታ (equation) መለወጥ እንችላለን። የፈለኮች ኡርጃዊ ናኖመኖች (sidereal periods) በምድር ኡርጃዊ ናኖመን (ማለትም በምድር ዓመት) አንጻር ከተገለጹ እና የፈለኮች ንፍቃብይ ረቲዶች (semi-major axes) ደግሞ በምድር ንፍቃብይ ረቲድ ማለትም በጠፈርሲናዊ ቶካድ (ጠቶ) ከተገለጹ፣ የኬፕለር ሦስተኛ ሕግ የወደራዊነት ቋሚ k = 1 ይሆናል። ስለዚህም የኬፕለር ሦስተኛ ሕግ በእኩልታ መልክ ሲገለጽ የሚከተለው መልክ ይኖረዋል።

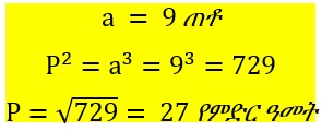
ምሳሌ 1፡ በፉንባዊ ምሕዋር (elliptic orbit) ፀሐይን የሚሖር አካል ንፍቃብይ ረቲድ (semi-major axis) 9 ጠቶ (9 AU) ቢሆን፣ ያካሉ ኡርጃዊ ናኖመን (sidereal period) ምን ያህል ነው (ማለትም አካሉ ፀሐይን አንድ ሙሉ ዙር ለመዞር የሚፈጅበት ጊዜ ምን ያህል ነው)?

ስለዚህም ከፀሐይ ያለው አማካይ ርቀት ምድር ከፀሐይ ያላትን አማካይ ርቀት 9 ጊዜ የሚበልጥ አካል፣ ፀሐይን አንድ ሙሉ ዙር ለመዞር የሚፈጅበት ጊዜ 27 የምድር ዓመት ነው (ማለትም ምድር ፀሐይን አንድ ሙሉ ዙር ለመዞር የሚፈጅባትን ጊዜ 27 ጊዜ ይበልጣል) ማለት ነው።
ምሳሌ 2፡ በፉንባዊ ምሕዋር (elliptic orbit) ፀሐይን የሚሖር አካል ኡርጃዊ ናኖመን (sidereal period) 8 የምድር ዓምት ቢሆን፣ የፈለኩ ምሕዋር ንፍቃብይ ረቲድ (semi-major axis) ምን ያህል ነው (ማለትም ፈለኩ ከፀሐይ ያለው አማካይ ርቀት ምን ያህል ነው)?

ስለዚህም ፀሐይን አንድ ሙሉ ዙር ለመዞር 8 የምድር ዓመት የሚፈጅበት አካል ከፀሐይ ያለው አማካይ ርቀት ምድር ከፀሐይ ያላትን አማካይ ርቀት 4 ጊዜ ይበልጣል ማለት ነው።

የኬፕለር ሕጎች የሚያገለግሉት በፀሐይ ዙርያ ለሚሖሩ ፈለኮች (planets) ብቻ ሳይሆን፣ በቁስበታዊ ግሳብ (gravitational force) አማካኝነት በማናቸውም አካል ዙርያ ለሚዞሩ ሁሉም አካሎች ነው። ስለዚህም
ለኬፕለር ሕጎች ይገዛሉ። ቁስበት (gravity) የሚለው ቃል የተገኘው ቁስ (matter) እና ስበት (attraction) ከሚሉት ቃሎች ሲሆን፣ አጊና ማለት ደግሞ በወላይትኛ ጨረቃ ማለት ነው።
ለምሳሌ ያህል ምድር በፀሐይ ዙርያ የምሖረው በፉንባዊ ምሕዋር እንደሆነ ሁሉ፣ ጨረቃም በምድር ዙርያ የምትሖረው በፉንባዊ ምሕዋር ነው። ጨረቃ በምድር ዙርያ እየሖረች ለምድር ዠቅርብ (nearest) የምትሆንበት ቅምጥት ምድርላዶ (perigee) ሲባል፣ ለምድር ዠሩቅ (farthest) የምትሆንበት ነጥብ ደግሞ ምድርማዶ (apogee) ይባላል።


የስለላ አጊናወች (spy satellites) ምድርን እንዲሖሩ የሚደረጉት ሙለቱ (eccentricity) ከፍተኛ በሆነ ፉንባዊ ምሕዋር (elliptical orbit) ። በዚህም ምክኒያት አጊናወቹ ምድርላዶ (perigee) አቅራቢያ ሲሆኑ፣ ለምድር ቅርብ ስለሚሆኑ ፍጥነታቸው ክፍተኛ ይሆናል። ምድርማዶ (apogee) አቅራቢያ ሲሆኑ ደግሞ ከምድር ሩቅ ስለሚሆኑ፣ ፍጥነታቸው ዝቅተኛ ስለሚሆን የሚያልፉበትን አካባቢ በጥራት መመርመር ይችላሉ።
ለምሳሌ ያህል አሜሪቃን የሚሰልሉ የሩሲያ የስለላ አጊናወች ምድርማዷቸውን ባሜሪቃ ትክክል ያደርጉና (ማለትም ካሜሪቃ ርቀው ማዶ ይሆኑና) ዝግ እያሉ በመሖር አሜሪቃን ያበጣጥሯታል። በተመሳሳይ መንገድ ያሜሪቃ የስለላ አጊናወችም ሩሲያን ይለቃቅሟታል።

መስፍን አረጋ
mesfinamharic.com
mesfin.arega@gmail.com